티스토리 뷰
예측값과 측정값을 바탕으로하여
추정값을 계산하는 필터
외부입력 : (측정값)
칼만필터를 통해 나오는 출력값 : (추정값)
시스템 모델 변수 : A,H,Q,R
칼만 필터 내부에 사용되는 변수:

상태정보 모델 : 시스템의 운동방정식을 상태변수에 대해 1차 미분방정식으로 표현한 모델
먼저 칼만필터를 이해하기 위해 조금 거슬러 올라가면
칼만필터는 저주파 통과 모델과 유사(재귀필터)
그리고 저주파 통과 필터는 기본적으로 이동평균 필터를 개선하여 구현됩니다.
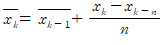
먼저 k-n+1번째 데이터에서 k번째 데이터까지 총 n개 데이터의 이동평균을 재귀식으로 나타내면

이러한 식을 얻어낼 수 있습니다.
이 식의 단점은 평균을 얻고자 하는 데이터에 모든 동일한 가중치를 부여하여 계산했다는 점 입니다.
이것을 개선한 식이 저주파 통과 필터 식이며 다음과 같습니다.


알파 값은 0과 1사이의 수로 가중치를 조절하여 오래된 데이터일수록 가중치를 낮게 부여할수 있는것이 특징입니다.
이 식과 유사한 식이 바로 칼만필터의 추정값을 계산식에 들어가게되어 최종 원하는 결과물을 만들게 됩니다.
칼만필터가 저주파 통과 필터 식에서 개선된 점은 바로 알파 값(칼만필터에서 K)이 계속 바뀐다는 점 입니다.

예측과정 : 직전 추정값(xk) 과 오차 공분산(Pk)이 입력,
최종결과가 예측값(xk(슬래쉬), Pk(슬래쉬))
예측과정에서 사용되는 시스템 모델 변수는 A , Q , (B)
추정과정 : 예측과정에서 결과물인 예측값과 더불어 측정값(Zk) 가 입력, 측정값과 예측값의 차이를 보정하여 새로운 추정값을 계산함.
결과가 현재 추정값과 현재상태의 오차 공분값 (예측과정의 오차 공분산으로 들어가게 됩니다.)
추정과정에서 사용되는 시스템 모델 변수는 H, R
오차 공분산은 수학적으로 다음과 같은 의미를 가집니다.

보통은 시스템 모델이 실제 모델과 얼마나 비슷한지에 따라 필터성능이 크게 좌우 됩니다.
위의 과정을 반복적으로 시행하여 필터역할을 수행하게 됩니다.
'공부공부' 카테고리의 다른 글
| 라즈베리파이 스트리밍 서버 활용하기 (1) | 2021.02.02 |
|---|---|
| VLC 영상 스트리밍 (0) | 2020.06.08 |
| Visual Studio) netsdk1 에러 발생시 (0) | 2020.05.06 |
| Mission Planner Tuning (0) | 2020.03.23 |
| RTK-GPS 측정방법과 정확도 (0) | 2020.03.05 |
